Media
HKU Physicists Uncover Hidden Order in the Quantum World Through Deconfined Quantum Critical Points
23 Apr 2025
Group photo of the research team: From the left: Dr Jiarui Zhao, Mr Menghan Song and Professor Zi Yang Meng.
Figure 1. (A) Lattice model for realising the deconfined quantum phase transition. (B) The phase diagram for the square lattice SU(N) model. Dots represent the quantum phase transition points. Red points are those not compatible with a continuous phase transition and blues points are those consistent with conformal field theories, i.e., candidates for genuine DQCP.
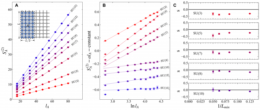
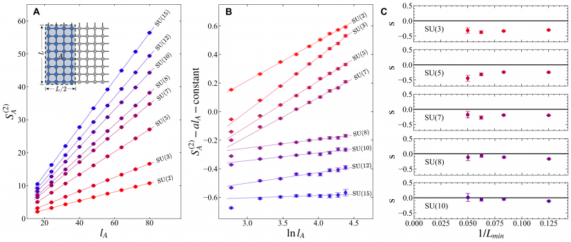
Figure 2. The scaling of entanglement entropy (EE) at SU(N) DQCPs. At N<Nc≈8, scaling of EE obtains a finite sub-leading log-correction, reflecting as the positive slope for red lines in panel (B), while for N>Nc, the anomalous log-correction disappears and therefore the DQCPs are possibly continuous.
In the intricate world of quantum physics, where particles interact in ways that seem to defy the standard rules of space and time, lies a profound mystery that continues to captivate scientists: the nature of deconfined quantum critical points (DQCPs). These elusive critical phenomena break away from the conventional framework of physics, offering a fascinating glimpse into a realm where quantum matter behaves in ways that challenge our classical understanding of the fundamental forces shaping the universe.
A recent study, led by Professor Zi Yang MENG and co-authored by his PhD student Menghan SONG of HKU Department of Physics, in collaboration with researchers from the Chinese University of Hong Kong, Yale University, University of California, Santa Barbara, Ruhr-University Bochum and TU Dresden, has unravelled some of the secrets concealed within the entangled web of quantum systems.
Their findings, recently published in the prestigious journal Science Advances, push the boundaries of modern physics and offer a fresh perspective on how quantum matter operates at these enigmatic junctures. The study not only deepens our understanding of quantum mechanics but also paves the way for future discoveries that could revolutionise technology, materials science, and even our understanding of the cosmos.
What are Deconfined Quantum Critical Points?
In everyday life, we are familiar with phase transitions, such as water freezing into ice or boiling into steam. These transitions are well-understood and explained by thermodynamics. However, in the realm of quantum physics, phase transitions can occur at absolute zero temperature (-273.15 °C), driven not by thermal energy but by quantum fluctuations — tiny, unpredictable movements of particles at the smallest scales. These are known as quantum critical points.
Traditional quantum critical points act as boundaries between two distinct states: a symmetry-broken phase (ordered phase), where particles are neatly arranged, and a disordered phase, where particles are jumbled and chaotic. This kind of transition is well-described by the Landau theory, a framework that has been the foundation of our understanding of phase transitions for decades.
But deconfined quantum critical points (DQCPs) break this mould. Instead of a sharp boundary separating an ordered phase from a disordered phase, DQCPs lie between two different ordered phases, each with its own unique symmetry-breaking pattern, meaning the way particles are arranged or interact in one phase is fundamentally different from the other. This is unusual because, traditionally, phase transitions involve moving from an ordered state to a disorder one, not from one type of order to another. This distinction makes DQCPs fundamentally different and highly intriguing.
Scientists have debated for decades whether DQCPs represent continuous phase transitions (which are smooth and gradual) or first-order transitions (which are sudden and abrupt). Understanding DQCPs could provide new insights into how particles interact and how exotic states of matter emerge.
The Key to the Mystery: Entanglement Entropy
At the heart of this new study lies the concept of entanglement entropy, a measure of how particles in quantum systems are interrelated. It provides a way to quantify the amount of information shared between different parts of a system. Entanglement entropy offers a glimpse into the hidden structure of quantum systems, serving as a fundamental tool for probing quantum matter and understanding the nature of complex interactions that emerge at critical points.
Using advanced quantum Monte Carlo simulations (a computational method for modelling quantum systems) and rigorous theoretical analysis, researchers examine the behaviour of entanglement entropy in square-lattice SU(N) spin models — a theoretical framework designed to capture the essence of DQCPs.
Their meticulous computations revealed something extraordinary: at small value N (a parameter that determines the symmetry of the system), the behaviour of entanglement entropy deviated from expectations for smooth, continuous phase transitions. Instead, they found that DQCPs exhibit anomalous logarithmic behaviors, defyingthe theoretical constraints typically associated with continuous phase transitions.
The Breakthrough: A Critical Threshold and Conformal Fixed Points
One of the most striking revelations of the study was the identification of a critical threshold value of N. When N exceeds this threshold, DQCPs exhibit behaviours consistent with conformal fixed points — a mathematical framework that describes smooth, continuous phase transitions. This discovery is significant because it suggests that, under certain conditions, DQCPs can resemble continuous phase transitions. At these critical points, the system aligns with conformal fixed points, revealing a hidden structure in the quantum world where the boundaries between distinct phases dissolve, and matter exists in a state of extraordinary fluidity, defying the usual rules of physics.
Why This Matters
The implications of these findings are profound. DQCPs provide a unique testing ground for exploring the interplay of quantum mechanics, symmetry, and critical phenomena. Understanding their nature could unlock new insights into:
- Exotic States of Matter: DQCPs are believed to be connected to the emergence of exotic phases, such as quantum spin liquids, which have potential applications in quantum computing and other advanced technologies.
- Fundamental Physics: By challenging the traditional Landau paradigm, DQCPs force us to rethink the principles that govern phase transitions, potentially leading to new theoretical frameworks.
- Technological Innovation: Insights gained from studying DQCPs could inform the design of novel materials with unique quantum properties, such as high-temperature superconductors or quantum magnets.
Conclusion
The enigmatic world of deconfined quantum critical points stands at the frontier of modern physics, offering a glimpse into the uncharted territory of quantum mechanics. Through their meticulous investigation of entanglement entropy and SU(N) spin models, researchers have made significant strides in unravelling the mysteries of these critical phenomena.
This study was conducted in collaboration with Dr Jiarui ZHAO from the Chinese University of Hong Kong, Professor Meng CHENG from Yale University, Professor Cenke XU from the University of California, Santa Barbara, Professor Michael M. SCHERER from Ruhr-University Bochum, and Professor Lukas JANSSEN from TU Dresden.
For those eager to explore this fascinating research further, the full details can be found in the journal Science Advances under the title ‘Evolution of entanglement entropy at SU(N) deconfined quantum critical points’ at the link: https://www.science.org/doi/10.1126/sciadv.adr0634.
For media enquiries, please contact HKU Faculty of Science (tel: 852-3917 4948/ 3917 5286; email: caseyto@hku.hk / email: cindycst@hku.hk).
Images download and captions: https://www.scifac.hku.hk/press